2025-06-01
胆道闭锁(biliary atresia,BA)是以肝内外胆道系统进行性炎症及纤维化闭锁持续进展为主要病理特征,造成严重的胆汁淤积和胆汁性肝硬化的肝胆疾病。BA晚期可出现门静脉高压和肝衰竭,患儿如未能得到及时救治多在1~2年内死亡,是婴幼儿时期最常见的导致死亡的肝胆疾病,也是小儿肝移植最常见的适应证。BA的发病率为0.55-1.3/10000名活婴,中国上海地区胆道闭锁发病率为10.86/10000名活婴,远高于欧美国家。Kasai 手术是 BA 治疗的首选方式。BA患儿预后与手术时年龄密切相关,早期诊断和及早进行Kasai手术能够显著改善此病预后,减少肝移植。然而,由于临床、生化、影像学和组织病理学特征相似,在疾病早期识别BA与其他婴儿胆汁淤积症仍然具有挑战性,导致BA患儿Kasai手术时年龄偏大,预后较差。
随着质谱技术的进一步普及和代谢组学的快速发展,人们发现胆汁酸代谢改变与肝损伤和胆汁淤积密切相关,而特定的胆汁酸可能是区分BA可靠的生物标志物。
一、特定胆汁酸与BA诊断
除BA外,Alagille综合征,Caroli综合征和家族性胆汁淤积综合征(PFIC)等疾病也会导致患儿产生胆汁淤积的症状。对于BA患儿,往往早期认识不足,没有进行合理的检查和诊断,给予相应的治疗和建议,多数情况下按照新生儿肝炎综合征或母乳性黄疸进行保守治疗,而治疗效果不佳时,才想起来是否为外科性黄疸引起的胆道进行性梗阻,这时多数患儿已失去最佳的治疗时机。2018年的一项研究结果显示,BA患儿和胆道淤积的非BA患儿胆汁酸存在显著差异,BA患儿血清甘氨鹅脱氧胆酸(GCDCA)和牛磺鹅脱氧胆酸(TCDCA)的含量显著高于胆道淤积的非BA患儿。根据ROC曲线,当GCDCA切值为30μM时,其在BA诊断中的敏感性为100%,特异性为83.3%,阳性预测值为88.9%,阴性预测值为100%,可有效识别BA患儿和胆道淤积的非BA患儿。

上海交通大学医学院新华医院也有类似的研究结论。研究者通过定量检测BA和非BA婴儿(特发性新生儿肝炎、巨细胞病毒肝炎、肠外营养相关性胆汁淤积、败血症和Alagille综合征)的胆汁酸谱后发现,BA组的鹅脱氧胆酸(CDCA)水平显着降低,而甘氨胆酸(GCA)、GCDCA水平和GCDCA/CDCA显着高于非BA组。随后,研究者基于GCDCA/CDCA的水平,并结合γ-谷氨酰转移酶 (γ-GT) 水平和粘土粪便得分,开发出三变量评分系统,用于评估患儿的BA风险。
BA风险 = exp. (− 2.4672 + 0.1377 × γ-GT + 0.0319 × GCDCA/CDCA + 1.5779 × clay stool). 该评分系统的临界值为15,分值范围为0-41,≤15为BA低风险,>15为BA高风险。评分系统的AUC为0.87(95%CI,0.77–0.94)。散点图显示诊断敏感性为 85.3%,特异性为 81.3%。为了验证上述评分系统的适用性,研究者后续测试了胆汁淤积性肝病婴儿的验证队列,包括40名BA患儿和35名非BA患儿,评分系统诊断敏感性和特异性分别为90.0%和80.0%。

其中,在高危组中,评分> 35 分的 BA 估计风险为 > 95.5%,验证队列中得分较高的所有患者最终被诊断为 BA。该评分系统为临床提供了一种无创诊断方法来鉴别婴儿BA和胆汁淤积。
此外,新生儿肝炎综合征(NHS)是新生儿胆汁淤积的另一个主要原因,通常会与BA诊断混淆,但两者的胆汁酸亚型有显著差异。与NHS患者相比,BA患者TCDCA水平更高,CDCA水平更低。BA患者的TCDCA/CDCA升高,可用于区分BA和NHS患者,其ROC曲线下面积为0.923。
BA患儿有特定的胆汁酸模式,通过定量检测特定胆汁酸的含量并结合相关的算法,可有助于准确、快速和非侵入性的BA诊断。
二、胆汁酸谱与Kasai手术预后

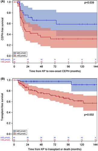
婴儿发生胆道闭锁后需接受Kasai手术,若术后患儿高胆红素水平持续升高则需进行肝移植,但术后胆红素水平正常也不意味着就有好的预后,临床上仍缺乏精准的预测指标。今年的一项前瞻性研究结果显示,血清总胆汁酸水平与Kasai术后胆红素水平正常的婴儿预后情况相关。该研究入组Kasai术后六个月、总胆红素水平正常的患儿,共收集血清样本137例并进行胆汁酸水平检测,根据胆汁酸水平将患儿分为低BA组(BA ≤ 40 μmol / L, n = 43)和高BA组(BA > 40 μmol / L, n = 94),并进行随访。在随访期间发现低BA组的患儿发生脾肿大、腹水、胃肠道出血或门静脉高压症的可能性降低。低BA组肝移植/死亡的10年累积发生率为8.5%,显著低于高BA组的42.9%。因此,对于Kasai术后胆红素水平正常的婴儿,可检测血清胆汁酸水平,预测其预后情况,及时干预。
综上所述,检测BA患儿血清胆汁酸,寻找诊断BA的敏感指标,可为早期识别BA提供新的方法和方向,帮助临床医生实现BA的早诊断,早手术,以降低肝移植概率。另外,术后胆汁酸检测,也预测Kasai术后胆红素正常患儿的预后情况!
三、方法学优势(液相色谱-串联质谱法)
1、前处理仅需蛋白沉淀,简单快速,适用于全自动样本处理平台,有利于提高处理通量。
2、检测指标更全面,仅需50μL血清,可同时检测17种胆汁酸,对体内胆汁酸评估更全面。
3、胆汁酸同分异构体分离效果更好,胆汁酸定量结果更准确。
四、胆汁酸谱检测试剂产品
检测试剂盒
样本释放剂(胆汁酸蛋白沉淀法)
沪闵械备20190076 号
检测指标
胆酸(CA)
熊脱氧胆酸(UDCA)
鹅脱氧胆酸(CDCA)
石胆酸(LCA)
脱氧胆酸(DCA)
牛磺胆酸(TCA)
牛磺脱氧胆酸(TDCA)
牛磺石胆酸(TLCA)
牛磺熊脱氧胆酸(TUDCA)
牛磺鹅脱氧胆酸(TCDCA)
甘氨胆酸(GCA)
甘氨石胆酸(GLCA)
甘氨脱氧胆酸(GDCA)
甘氨熊脱氧胆酸(GUDCA)
甘氨鹅脱氧胆酸(GCDCA)
甘氨猪去氧胆酸(GHDCA)
牛磺猪去氧胆酸(THDCA)
样本类型
血清
试剂规格
96测试/盒
目前,上海jjb生物科技有限公司已基于LC-MS/MS平台开发出17种胆汁酸的检测试剂盒,可检测常见的初级胆汁酸和次级胆汁酸,助力于BA的无创诊断与预后监测!
参考文献:
[1] 王若晗, 李英超. 胆道闭锁诊断方法学研究进展 [J] . 中华小儿外科杂志, 2021, 42(9) : 837-846.
[2] 陈功, 姜璟㼆, 汤悦, 等. 胆道闭锁诊断与治疗循证实践指南[J]. 中国循证儿科杂志, 2022, 17(4): 245.
[3] Golden J, Zagory J A, Fenlon M, et al. Liquid chromatography–mass spectroscopy in the diagnosis of biliary atresia in children with hyperbilirubinemia[J]. Journal of Surgical Research, 2018, 228: 228-237.
[4] Zhao D, Zhou K, Chen Y, et al. Development and validation of bile acid profile-based scoring system for identification of biliary atresia: a prospective study[J]. BMC pediatrics, 2020, 20(1): 1-9.
[5] Zhou K, Wang J, Xie G, et al. Distinct plasma bile acid profiles of biliary atresia and neonatal hepatitis syndrome[J]. Journal of proteome research, 2015, 14(11): 4844-4850.
[6] Harpavat S, Hawthorne K, Setchell K D R, et al. Serum bile acids as a prognostic biomarker in biliary atresia following Kasai portoenterostomy[J]. Hepatology, 2023.