2025-08-25
多囊卵巢综合征(polycystic ovarian syndrome, PCOS)是最常见的妇科内分泌疾病之一,8%~13%的女性和5.6%~11.04%的青春期女性受累。我国生育期女性PCOS患病率为8.6%,青春期女性的患病率为10.26%。相当数量的PCOS患者在青春期初潮后以月经异常为主要症状就诊,这部分青春期PCOS患者若不能早期规范诊治,成年后可能面临代谢异常、子宫内膜病变、不孕、自然流产等问题,同时妊娠期糖尿病、子痫前期、早产、死产等妊娠期并发症和合并症风险也会增加【1】。
目前国际上对于成人PCOS的诊断仍然推荐采用2003年鹿特丹的标准,并建议明确特定表型,A型:卵巢多囊样改变(PCO)+慢性无排卵(CA)+高雄激素血症(HA);B型:CA+HA;C型:PCO+HA;D型:PCO+CA。其中表型 A、B 和 C都存在高雄激素血症。

表1 PCOS临床表型分型
目前,对于PCOS的早期识别仍然具有挑战性。近年研究发现,一类名为11-氧代雄激素(如11-酮睾酮、11-羟基睾酮)的新型雄激素,可能在PCOS的病理机制和诊断中扮演关键角色。
肾上腺来源的雄激素:在PCOS患者中显著升高
传统认为PCOS患者的雄激素主要源于卵巢,但新研究表明,肾上腺衍生的 11-氧代雄激素也是 PCOS 发展的关键参与者。
11-氧代雄激素的生物合成始于细胞色素 P450 17α-羟化酶/17,20-裂解酶 (CYP17A1)酶催化17-羟孕烯醇酮生成脱氢表雄酮(DHEA)。一部分DHEA 被 2 型 3β-羟基类固醇脱氢酶 (HSD3B2) 转化为雄烯二酮,雄烯二酮和睾酮随后通过细胞色素 P450 11β - 羟化酶(CYP11B1)分别转化为11β- 羟基雄烯二酮(11-OHA4)和11-羟睾酮(11-OHT)。11OHA4 、11-OHT在肾脏等组织经 11β - 羟类固醇脱氢酶 2 型(HSD11B2)分别转化为 11 - 酮雄烯二酮(11-KA4)和11-酮睾酮(11-KT)。11-KA4也可于脂肪等外周组织由醛酮还原酶 1C3(AKR1C3)转化为11-KT。 11-KT的活性与睾酮相当,且可进一步转化为11-酮基双氢睾酮(11-KDHT),加剧高雄症状(如多毛、痤疮)。

图1 PCOS 女性肾上腺来源的雄激素合成
(经典和后门途径)
O'Reilly 等人的大规模病例对照研究显示,PCOS患者的总睾酮(T)、雄烯二酮(A4)及4种11-氧代雄激素(11-OHT、11-KT、11-OHA4和11-KA4)均显著高于健康女性,且不受年龄和BMI影响(见图2)【2】。Tosi研究也发现11-KT 和 11-OHT 分别在30.1%和28.5%的PCOS女性中升高【3】。

图2:PCOS 女性 (n = 114) 和健康性别和年龄匹配的对照受试者 (n = 49) 的经典(图A, B)和11-氧代类固醇(图C-F)的血清浓度对比
诊断优势:11-氧代雄激素可能比经典雄激素更好地预测 PCOS
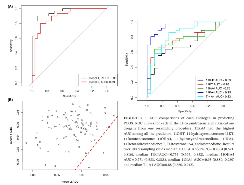
Armaiti等人的研究,将受试者分为70%训练队列和30%测试队列,构建了两个logistic回归模型:模型1使用11-氧代雄激素相关的指标(11-OHT、11-KT、11-OHA4和11-KA4)加上年龄和BMI;模型2使用经典雄激素(睾酮、雄烯二酮)加上同样的年龄和BMI。然后通过ROC曲线和AUC来比较两个模型的预测准确性。与经典雄激素(模型 2)相比,11-氧代雄激素(模型 1)具有更好的预测准确性(图3A)。在执行了 100 次交叉验证程序并绘制了两个模型的 AUC 后,我们发现模型 1 的中位 AUC (95% CI) 为 0.96,模型 2 的中位数 AUC (95% CI) 为 0.88。由于模型 2 的 95% 置信区间不包括模型 1 的中位数,因此模型 1 的 AUC 显著优于模型 2(图3B)。因此,11-氧代雄激素可能比经典雄激素更好地预测 PCOS。使用类似的策略,研究者在每个 11-氧代雄激素上构建了 ROC 曲线,以查看哪些单独最能预测 PCOS。根据拟合模型分析发现,11-KA4展现出更强的预测能力 (AUC = 0.95),优于T和A4的组合(AUC = 0.83)【4】。

图3 模型 1 和 2 的 PCOS 预测(A,B)和每种雄激素预测 PCOS 的 AUC 比较
11-氧代雄激素与PCOS代谢及表型的潜在关联
研究发现,11-KT与多毛症评分呈弱相关(r=0.17),提示其可能参与高雄症状的病理过程【4】。

表2 PCOS 组内血清雄激素与选定 PCOS 特征之间关系的 Pearson 相关系数
11-氧代雄激素主要由肾上腺而不是卵巢分泌,因此它们不受 HPO 轴的控制,而受 ACTH 的控制。它们遵循类似于皮质醇的昼夜节律。传统雄激素的水平随着年龄的增长而下降,而 11 氧代雄激素水平相当稳定【5】。目前研究发现11-氧代雄激素与PCOS患者的胰岛素抵抗的稳态模型评估存在相关性,或可解释部分PCOS患者绝经后仍存在代谢风险【6-7】。
1.精准诊断:11-氧代雄激素检测可弥补传统指标的不足,尤其适用于睾酮正常但症状典型的患者。
2.个体化治疗:针对肾上腺雄激素合成通路(如抑制CYP11B1酶)或成为新靶点。
3.代谢管理:11-氧代雄激素与胰岛素抵抗的关联需进一步探索,以改善PCOS长期并发症。
11-氧代雄激素的发现为PCOS诊疗开辟了新视角。随着LC-MS/MS技术的普及和机制研究的深入,这类激素有望成为PCOS精准医疗的核心工具。上海jjb生物科技有限公司可为临床提供多种类固醇激素的精准检测方案,其中包含11-氧代雄激素和传统的生物标志物,可为PCOS的诊疗提供精准且全面的信息,帮助更多女性摆脱疾病困扰。
参考文献: 1. 高慧慧, 钱贝冉, 倪艳, 等. 多囊卵巢综合征发病机制研究进展[J]. Journal of Sichuan University (Medical Sciences), 2024, 55(4): 1049. 2. O'Reilly MW, Kempegowda P, Jenkinson C, Taylor AE, Quanson JL, Storbeck KH, Arlt W. 11-Oxygenated C19 Steroids Are the Predominant Androgens in Polycystic Ovary Syndrome. J Clin Endocrinol Metab. 2017 Mar 1;102(3):840-848. 3. Tosi F, Villani M, Garofalo S, Faccin G, Bonora E, Fiers T, Kaufman JM, Moghetti P. Clinical Value of Serum Levels of 11-Oxygenated Metabolites of Testosterone in Women With Polycystic Ovary Syndrome. J Clin Endocrinol Metab. 2022 Apr 19;107(5):e2047-e2055. 4. Mody AP, et al. Exploring the Predictive Role of 11-Oxyandrogens in Diagnosing PCOS. Endocrinol Diabetes Metab. 2025. 5. Auer MK, Hawley JM, Lottspeich C, Bidlingmaier M, Sappl A, Nowotny HF, Tschaidse L, Treitl M, Reincke M, Keevil BG, Reisch N. 11-Oxygenated androgens are not secreted by the human ovary: in-vivo data from four different cases of hyperandrogenism. Eur J Endocrinol. 2022 Nov 23;187(6):K47-K53. 6. Wang K, Li Y, Chen Y. Androgen excess: a hallmark of polycystic ovary syndrome. Front Endocrinol. 2023. 7. Storbeck K H, O’Reilly M W. The clinical and biochemical significance of 11-oxygenated androgens in human health and disease[J]. European Journal of Endocrinology, 2023, 188(4): R98-R109.
关于上海jjb生物
上海jjb生物成立于2011年,是一家聚焦医疗诊断设备及体外诊断试剂研发、生产与技术服务的高新技术企业。企业在中美两地设立研发中心,拥有标准化生产基地并通过ISO13485认证,由国际化博士团队领衔,构建了生化试剂、临床质谱、第三方质控品三大核心技术平台。其乳胶增强免疫比浊法技术国内领先,已获近百项生化试剂注册证;自主研发的超高效液相色谱串联质谱检测系统RZ-500、RZ-500 Plus及配套自动化前处理设备、30余项质谱检测试剂,推动中国临床质谱技术标准化进程。
企业累计承担多项科研项目,获发明专利数十项,连续获评高新技术企业及上海市"专精特新"企业、科技小巨人企业等称号。通过产学研合作组建临床质谱应用联盟,打造"样本前处理-仪器-试剂-软件-服务"全流程解决方案,推动质谱技术临床应用合规化与自动化发展。秉持"睿智创新科技,科技呵护健康"理念,上海jjb生物致力搭建全国性合作平台,以自主创新技术和专业服务体系,助力大健康产业升级。

